Comment mesurer ses progrès quand on régresse avec l'âge ?
Par Phil - Garder la motivation car on peut toujours progresser, même si cela ne se voit pas forcément sur les résultats.
Au début d'une nouvelle saison d'athlétisme tu as le plaisir de voir arriver le calendrier des compétitions, mais en même temps tu as cette petite pression de voir si tu vas être capable d'améliorer tes performances et donc faire une meilleure performance personnelle.
C'est peut-être le cas quand tu as entre 15 et 29 ans, car comme discuté à la page sur les performances, passé un certain âge, en général 30 ans, tes performances devraient baisser. Je sais, c'est désagréable, mais c'est comme ça!
Même sans blessure, tes capacités musculaires en terme de vitesse de transmission de l'influx nerveux, de contractibilité des fibres musculaires, etc... vont diminuer et cela va mécaniquement entraîner une baisse de tes performances.
Pour faire simple, en course à pied ta cadence et ta longueur de foulée vont diminuer avec l'âge, quelle que soit la distance courue, et tes performances vont donc diminuer en proportion. Et même si tu peux avoir des saisons meilleures que d'autres il ne faut pas espérer courir les sprints à 60 ans dans le même temps qu'à tes 20 ans, et c'est pour cela que sur un 400m les U20 sont déjà arrivés quand il te reste encore plus de 80m à courir ;-)
Mais la World Masters Athletics, avec toutes des données accumulées au cours des ans, a pu calculer la baisse de ces performances en fonction de l'âge et propose une valeur de correction de ces performances pour pouvoir les comparer entre athlètes indépendamment de la distance ou du sexe, ou pour un athlète donné les comparer d'année en année.
Ces tables de valeurs incluent également les facteurs de corrections, par tranche de cinq ans, pour les épreuves combinée.
Personnellement je trouve qu'il est plus pertinent de comparer les athlètes pour une distance donnée, ou des distances proches, que pour des distances très différentes comme un marathon par rapport à un 100m, même si en théorie le calcul va s'appliquer indépendamment de cela.
A partir de ces tables on peut donc calculer quel devrait être la meilleure performance possible pour un âge et une distance.
Si je regarde par exemple pour le 200m en M68, le facteur de correction est 0.7872 et le record du monde d'Usain Bolt étant de 19"19, cela donne 19"19 / 0.7872 = 24"38, pour la meilleure performance théorique des M68.
Comme ma meilleure performance est de 28"33, mon Pourcentage de Facteur d'Âge est égal à 24"38 / 28"33 = 86.06%. Il me reste donc encore pas mal de progrès à faire pour atteindre 100% ;-)
Et en utilisant la meilleure performance mondiale, si j'avais fait de l'athlétisme dans ma jeunesse, j'aurais peut-être pu courir le 200m en 19"19 / 0.8606 = 22"30.
Pas une mauvaise performance, mais rien d'extraordinaire non plus.
D'ailleurs comme j'en ai discuté dans l'article sur les Percentiles des Performances, je suis dans le top 10% de ma tranche d'âge pour le 200m, donc cela est assez bien en accord avec les 86% de Facteur d'Âge.
Il y a plusieurs calculateurs en ligne pour trouver facilement ces valeurs. Sur celui de MastersRankings vous pourrez voir l'évolution du calcul au cours des années.
Note: Utilisez le résultat avec les coefficients de 2023, même si il est moins flatteur ;-)
Celui de RunBundle vous expliquera en détail tous les termes utilisés pour le calcul de votre 'Age Grading'
Avec ces tables on peut donc se comparer aux autres athlètes d'âge différents lors d'une compétition. Voici un exemple de comparaison sur une série pour un 200m où j'ai couru en 29"03 en 2025, et où j'ai le meilleur pourcentage de facteur d'âge, ce qui n'est pas vrai sur l'ensemble des séries :-)
| 200m | Performance | Age | Sexe | AGP(%) |
| Athlète 1 | 28"35 | 58 | M | 80.35 |
| Moi | 29"03 | 68 | M | 83.98 |
| Athlète 2 | 29"14 | 56 | M | 77.14 |
| Athlète 3 | 29"32 | 49 | M | 73.19 |
| Athlète 4 | 34"06 | 67 | M | 71.08 |
Il serait intéressant d'avoir automatiquement le Pourcentage de Facteur d'Age avec les résultats de toutes le compétitions, mais malheureusement ce n'est pas le cas, et seulement quelques unes les prennent en considération pour le classement des athlètes quand ils sont dans des catégories d'âge différentes.
Je trouve que ces calculs sont un excellent moyen de garder sa motivation pour continuer à s'entraîner et essayer de maintenir le plus possible son niveau de performances en avançant en âge, mais sans se focaliser exclusivement sur la valeur absolue de celles-ci.
Voici mes résultats en sprint, leurs AGP et 'Age Grade Performance'. Comme on peut le constater, en fonction de l'âge, ce n'est pas forcément la meilleure performance qui donne le meilleur résultat.
| 400m | Performance | AGP | Age Factor | Age Graded Perf |
| 2023 | 63"30 | 85.06% | 0.7991 | 50"58 |
| 2024 | 63"45 | 85.34% | 0.7935 | 50"35 |
| 2025 | 64"24 | 84.99% | 0.7880 | 50"62 |
| 200m | Performance | AGP | Age Factor | Age Graded Perf |
| 2023 | 28"67 | 83.87% | 0.7980 | 22"88 |
| 2024 | 28"18 | 85.90% | 0.7926 | 22"34 |
| 2025 | 28"33 | 86.06% | 0.7872 | 22"30 |
| 100m | Performance | AGP | Age Factor | Age Graded Perf |
| 2023 | 14"20 | 83.45% | 0.8083 | 11"48 |
| 2024 | 13"79 | 86.54% | 0.8026 | 11"07 |
| 2025 | 13"96 | 86.07% | 0.797 | 11"13 |
| 60m | Performance | AGP | Age Factor | Age Graded Perf |
| 2023 | 8"90 | 84.31% | 0.8448 | 7"52 |
| 2024 | 8"80 | 85.22% | 0.8393 | 7"39 |
| 2025 | 8"91 | 85.33% | 0.8338 | 7"43 |
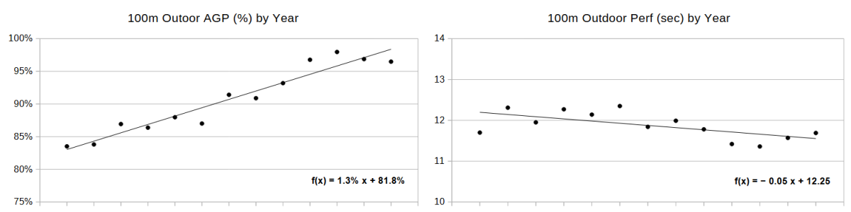
Je ne fais pas d'athlétisme depuis assez longtemps pour pouvoir analyser l'évolution de mon Pourcentage de Facteur d'Âge au cours du temps et voir l'impact des mes entraînements année après année de manière significative.
J'ai donc regardé cette évolution pour un Master de niveau mondial sur les dernières années pour le 100m. Les chronos baissent au fil des ans et donc, même en commençant à une valeur élevée, le Pourcentage de Facteur d'Age augmente de 1.3% par an en moyenne, ce qui signifie des progrès réguliers. Bravo !

Pour cet autre Master, les chronos montent pour le 200m, mais le Pourcentage de Facteur d'âge progresse quand même au fil des ans. Bravo également !
